Beranda
/ Contoh Soal Permutasi Dengan Pengulangan - 50 Contoh Soal Permutasi Dan Kombinasi Pembahasannya Pdf 2021 : Di mana n adalah banyaknya objek yang dapat dipilih dan r adalah jumlah yang harus dipilih.
Contoh Soal Permutasi Dengan Pengulangan - 50 Contoh Soal Permutasi Dan Kombinasi Pembahasannya Pdf 2021 : Di mana n adalah banyaknya objek yang dapat dipilih dan r adalah jumlah yang harus dipilih.
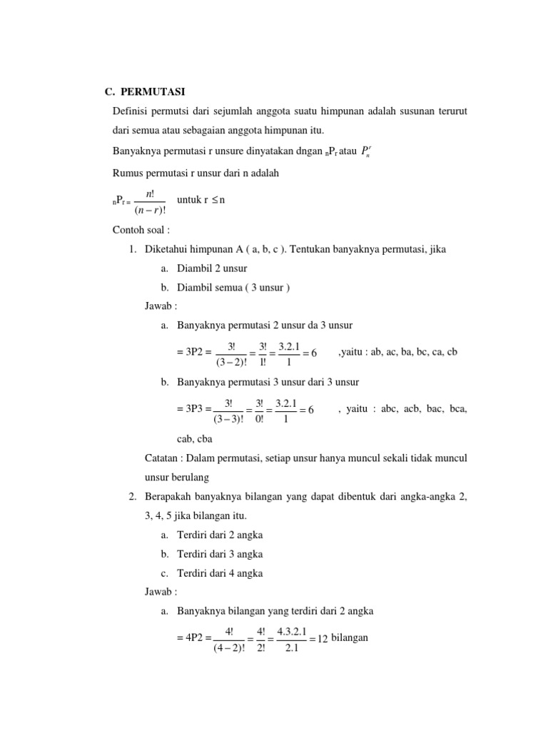
Contoh Soal Permutasi Dengan Pengulangan - 50 Contoh Soal Permutasi Dan Kombinasi Pembahasannya Pdf 2021 : Di mana n adalah banyaknya objek yang dapat dipilih dan r adalah jumlah yang harus dipilih.. Lima putra dan tiga putri duduk berderet pada 8 kursi kosong sesuai dengan 8 lembar karcis bioskop yang mereka miliki. Rumus, perbedaan, dan contoh soal. Dilambangkan dengan , , atau p (n,r) untuk r=n, yaitu permutasi dari n unsur tersedia yang dirumuskan. Berapa banyak cara untuk duduk yang diperoleh dengan urutan berbeda jika : ( ini adalah rumus permutasi tanpa pengulangan) (ini adalah rumus permutasi dengan pengulangan)
Pengertian permutasi permutasi adalah penyusunan kembali suatu kumpulan objek dalam urutan yang berbeda dari urutan yang semula. Di mana n adalah banyaknya objek yang dapat dipilih dan r adalah jumlah yang harus dipilih. N p k = n! Maka dalam hal ini berapa banyak kah cara yang saling berlainan ketika mereka bisa duduk, apabila: Untuk menjawab soal permutasi dan kombinasi tersebut mudah, kita pakai logika saja.jika semua saling bersalaman satu sama lain maka 1 orang akan bersalaman dengan 59 orang.
Contoh Soal Permutasi Dan Kombinasi Sert from data03.123doks.com Contoh soal tiga buah buku, yaitu ekonomi (e), geografi (g), dan sejarah (s) akan disusun secara berjajar. Postingan ini membahas contoh soal permutasi dan penyelesaiannya atau pembahasannya. Lima putra dan tiga putri duduk berderet pada 8 kursi kosong sesuai dengan 8 lembar karcis bioskop yang mereka miliki. Permutasi adalah pencacahan/penyusunan kembali suatu kumpulan objek yang bisa dilakukan dengan memperhatikan urutan objek., sedangkan kombinasi selengkapnya dalam artikel ini. Jumlah siswa di suatu kelas adalah 30 anak. Banyaknya kombinasi dengan pengulangan berukuran r dari n objek adalah. Permutasi ini merupakan penyusunan kumpulan angkaobjek dalam berbagai urutan urutan yang berbeda tanpa ada. Banyaknya kombinasi dengan pengulangan berukuran r dari n objek adalah.
N = 3 k = 2 n ᵏ = 3² = 9 susunan yang terbentuk adalah aa, ab, ac, ba, bb, bc.
Pada contoh diatas bisa dilihat banyaknya combina yang disusun dari karakter huruf abc. 19+ contoh soal kombinasi dengan pengulangan. Untuk menjawab soal permutasi dan kombinasi tersebut mudah, kita pakai logika saja.jika semua saling bersalaman satu sama lain maka 1 orang akan bersalaman dengan 59 orang. Permutasi adalah pencacahan/penyusunan kembali suatu kumpulan objek yang bisa dilakukan dengan memperhatikan urutan objek., sedangkan kombinasi selengkapnya dalam artikel ini. Dalam melakukan penghitungan permutasi, kamu akan dihadapkan pada penyelesaian contoh soal dengan menggunakan rumus. 6 p 2 = 6! Dilambangkan dengan , , atau p (n,r) untuk r=n, yaitu permutasi dari n unsur tersedia yang dirumuskan. Tentukan banyaknya cara untuk menyusun tiga buku tersebut! Soal ini berkaitan dengan kombinasi.banyaknya salaman yang dapat dilakukan. 44+ contoh soal kombinasi pengulangan. Contoh soal permutasi dan kombinasi serta pembahasannya permutasi 1). Dilansir dari probability with permutauions: Dalam permutasi ini, urutan menjadi salah satu perhatian, dimana tidak ada anggota yang bertukar tempat.
6 p 2 = 6! Permutasi adalah metode penyusunan kembali angka/objek ke dalam berbagai susunan dimana tidak ada pengulangan yang terjadi. Pada contoh diatas bisa dilihat banyaknya combina yang disusun dari karakter huruf abc. Permutasi pengulangan 2 dengan 2 pilihan. Berikut ini akan dijabarkan kemungkinan susunan tiga buah buku pada soal.
Perbedaan Permutasi Dan Kombinasi Siklis Rumus Dan Contoh Soalnya from quipper.co.id Permutasi adalah metode penyusunan kembali angka/objek ke dalam berbagai susunan dimana tidak ada pengulangan yang terjadi. Contoh soal permutasi dan kombinasi akan dibahas pada artikel kursiguru kali ini. 44+ contoh soal kombinasi pengulangan. Jika salah seorang selalu duduk dikursi tertentu maka tinggal 7 orang dengan 3 kursi kosong. Dalam mempelajari materi peluang, kita. Sebagai contoh, jika kamu memiliki huruf a, b, c, dan d dan kamu ingin mencari tahu ada berapa cara untuk menyusunnya dalam suatu grup yang berisi tiga angka maka kamu akan. 19+ contoh soal kombinasi dengan pengulangan. Pada contoh diatas bisa dilihat banyaknya combina yang disusun dari karakter huruf abc.
(1,2,3,4,5) tidak sama dengan (3,2,1,4,5) rumus permutasi.
Contoh soalsoal permutasi dan kombinasi : Perbedaan permutasi dan kombinasi, jenis jenis permutasi, contoh soal permutasi yang memuat beberapa unsur sama, soal un permutasi, metode permutasi. Tentukan ada berapa banyak kombinasi untuk mengambil dua buah. Contoh soal permutasi dan kombinasi akan dibahas pada artikel kursiguru kali ini. = 6.5 6 p 2 = 30. Menghitung banyaknya permutasi saat pengulangan diperbolehkan dapat dilakukan dengan menggunakan prinsip perkalian, seperti pada contoh berikut. Contoh soal kombinasi tanpa pengulangan. Di mana n adalah banyaknya objek yang dapat dipilih dan r adalah jumlah yang harus dipilih. Permutasi adalah pencacahan/penyusunan kembali suatu kumpulan objek yang bisa dilakukan dengan memperhatikan urutan objek., sedangkan kombinasi selengkapnya dalam artikel ini. Postingan ini membahas contoh soal permutasi dengan pengulangan atau pemulihan yang disertai pembahasannya / penyelesaiannya. Contoh soal permutasi materi makalah pembahasan kali mengenai contoh soal permutasi beserta pengertian faktorial rumus unsur dan pembahasannya. (1,2,3,4,5) tidak sama dengan (3,2,1,4,5) rumus permutasi. Soal ini berkaitan dengan kombinasi.banyaknya salaman yang dapat dilakukan.
Keduanya adalah cara hitung untuk … Kaos celana dengan warna : Soal ini berkaitan dengan kombinasi.banyaknya salaman yang dapat dilakukan. Rumus kombinasi matematika dan contoh soalnya from rumus.co.id. Jika salah seorang selalu duduk dikursi tertentu maka tinggal 7 orang dengan 3 kursi kosong.
Bagaimana Cara Membedakan Soal Permutasi Dengan Soal Kombinasi Brainly Co Id from id-static.z-dn.net Banyaknya kombinasi dengan pengulangan berukuran r dari n objek adalah. Perbedaan permutasi dan kombinasi, jenis jenis permutasi, contoh soal permutasi yang memuat beberapa unsur sama, soal un permutasi, metode permutasi. Terdapat 4 buah bola identik dan 3 buah kotak. Contoh soal permutasi dengan pengulangan. Kombinasi dengan pengulangan berukuran r dari n objek adalah pengambilan seleksi berukuran r dari kumpulan n objek dengan urutan tidak diperhatikan dan pengulangan/ pengembalian dibolehkan. Contoh soal permutasi dan kombinasi serta pembahasannya permutasi 1). Agar kamu lebih paham dengan permutasi nunsur yang berbeda, simak contoh soal berikut. 19+ contoh soal kombinasi dengan pengulangan.
Jika ada 60 orang maka 59 x 60.
Pada contoh diatas bisa dilihat banyaknya combina yang disusun dari karakter huruf abc. Berikut ini diberikan beberapa contoh dari penjumlahan, pengurangan dan perkalian matriks. Postingan ini membahas contoh soal permutasi dan penyelesaiannya atau pembahasannya. 44+ contoh soal kombinasi pengulangan. Kombinasi dengan pengulangan berukuran r dari n objek adalah pengambilan seleksi berukuran r dari kumpulan n objek dengan urutan tidak diperhatikan dan pengulangan/ pengembalian dibolehkan. Hitunglah nilai dari 6 p 2. Permutasi adalah suatu unsur yang berbeda dan memperhatikan urutan nya. Dilansir dari probability with permutauions: N p k = n! Untuk menjawab soal permutasi dan kombinasi tersebut mudah, kita pakai logika saja.jika semua saling bersalaman satu sama lain maka 1 orang akan bersalaman dengan 59 orang. Contoh soal permutasi dengan pengulangan. 6 p 2 = 6! Berikut ini akan dijabarkan kemungkinan susunan tiga buah buku pada soal.
Berbagi
Posting Komentar
untuk "Contoh Soal Permutasi Dengan Pengulangan - 50 Contoh Soal Permutasi Dan Kombinasi Pembahasannya Pdf 2021 : Di mana n adalah banyaknya objek yang dapat dipilih dan r adalah jumlah yang harus dipilih."
Posting Komentar untuk "Contoh Soal Permutasi Dengan Pengulangan - 50 Contoh Soal Permutasi Dan Kombinasi Pembahasannya Pdf 2021 : Di mana n adalah banyaknya objek yang dapat dipilih dan r adalah jumlah yang harus dipilih."